京卫计网审[2015]第0523号 京ICP备14051922号 京ICP证160408号
京公网安备 11010502030806号 Copyright © 2014 北京易康医疗科技有限公司版权
发布时间:2016-06-20 | 来源: | 责任编辑:嗵嗵e研

多日前有一位生殖医学的大夫找到我,说她通过某某方案将试管婴儿的成功率提高到某水平。但是自己在英文论文的投稿中遇到了问题,审稿人要求她提供这一率的可信区间。
可信区间?对于一个资深的临床大夫而言,应该不是头一次听说。她也知道可信区间就是一个取值范围,表示在95%的可能下某一个参数可能的取值范围。但“官方”的说法应该是:可信区间(Confidence Interval, CI)是按一定的可信度,用样本统计量估计出的总体参数的所在范围。此处介绍几个概率:统计量是指从样本中计算出来的量,参数是指总体的量,可信度又称置信度(Confidence Level)就是某概率值,通常取95%或99%,统计描述就是对样本的统计量进行描述,统计推断就是用样本的统计量去推断总体参数。
官方的定义往往是拗口的,但是没办法,它为了简洁且不犯错误或者是为了严谨,它必须那么说。这儿咱们就不必那么注意措辞了,说清楚就行。可信区间就是在一定程度上某值的取值范围,如95%可信区间就是在95%的概率上某取值应该落在这一范围内。
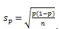
说回刚才那位大夫的问题,她的研究显示在986名采用某方案的IVF中,成功的有723例,占73.33%。那它的可信区间是多少呢?率的95%可信区间的计算公式为
式中p为事件的发生率,
为α置信度下的U值,sp为率的标准差,
在上例中sp=1.41%,1.96*1.41%=2.76%。所以上面率的95%可信区间就为(70.57%, 76.09%)。
至此便解决了问题。但是上面的算法是有条件的,它是率的可信区间正态近似法的计算过程,正态近似法要求的条件是n较大,且p不接近于0也不接近于1,具体的要求为n*p>5且n*(1-p)>5。也就是说发生率p不能接近0.001%或者99.999%,如果发生率接近这些值也可以,那么总例数n就应该很大。比如一个全国的调查,样本量有300多万,这时候尽管孕妇的乙肝大三阳感染率不高,也可以采用正态近似法。那么如果是孕妇的HIV感染率,那真的很低,此时就需要考虑是否应该采用Poisson分布来估算。在正态近似法之外,还有查表法,它适用于样本总例数小于等于50的情况,具体的表在绝大部分的医学统计学的课本上都有。
今天我们简单讨论了率的可信区间的估算。其实如果要深入研究率的可信区间的估算,也没那么简单。如果你对率的可信区间估算感兴趣,可以参考以下文献《四种方法计算总体率可信区间的比较研究_刘沛》、《正态近似法计算二项分布总体率95%可信区间的应用条件研究_刘沛》、《总体率可信区间计算的一次近似法及其特征_刘沛》等。
京卫计网审[2015]第0523号 京ICP备14051922号 京ICP证160408号
京公网安备 11010502030806号 Copyright © 2014 北京易康医疗科技有限公司版权